Neil Doleman “ Principal Investigator
Robin Lane “ Senior Analyst
BASi®, Suite 2 Building 500, Abbey Park, Stareton, Kenilworth, Warwickshire, UK
The Dried Blood Spot (DBS) technique has been evaluated at BASi® UK for the determination of quetiapine, norquetiapine and quetiapine sulphoxide in human whole blood. DBS offers a range of benefits over traditional sampling techniques including:
To validate an analytical method in human whole blood achieving an LLOQ of 0.5 ng/mL for all analytes at BASi® UK prior to transferring the method to our US sites and performing a cross-validation exercise.
In an effort to increase assay sensitivity the following changes were necessary:
Figure 1: Chromatograms of a typical calibration standard at 0.5 ng/mL (LLOQ)
(Reversed phase isocratic HPLC (phenyl-hexyl stationary phase, 3 µm particle size))

Overall ˜inter-run™ results, summarising three separate method performance batches, passed the BASi® accuracy and precision acceptance criteria (Table 1). Each of the three individual runs used for this assessment also met these acceptance criteria.
Dilution integrity (1 in 10) was also demonstrated (data not presented here).
Table 1:

The results shown in Table 2 demonstrate that the accuracy and precision of the assay was unaffected by changes in DBS volume.
Table 2:

Table 3 shows the matrix effects observed for each analyte. Only quetiapine sulphoxide appeared to undergo any degree of matrix suppression although this was successfully compensated for by the IS.
Specificity (n=6 individuals) was confirmed for all analytes (data not presented here).
Table 3:

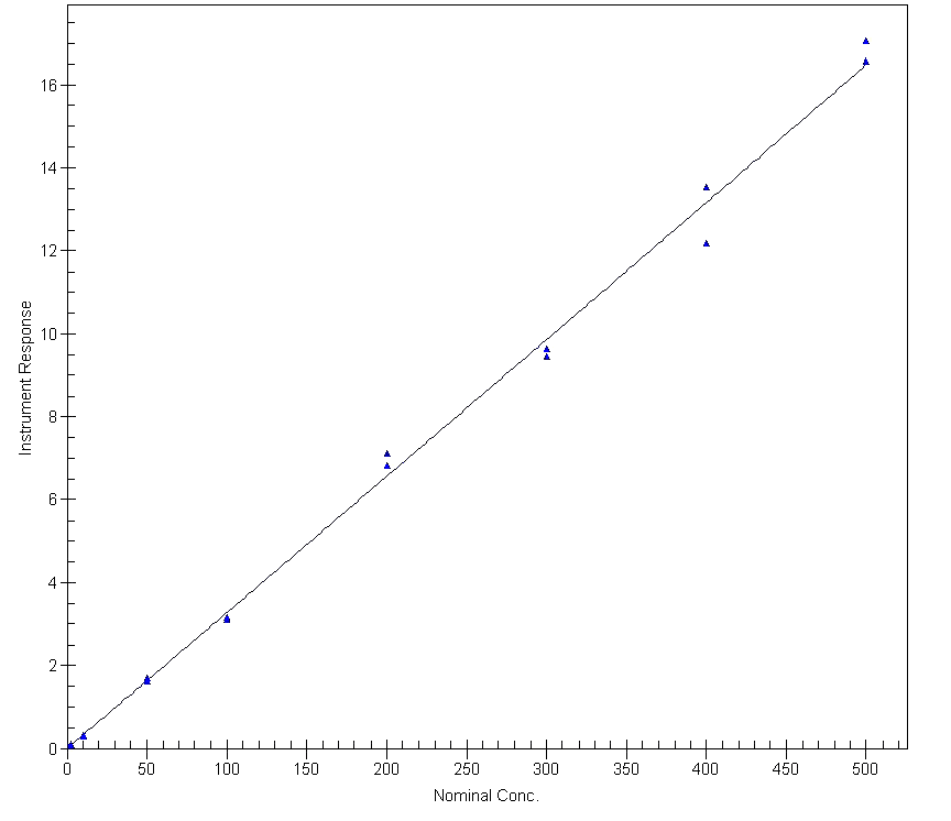
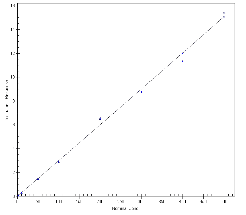
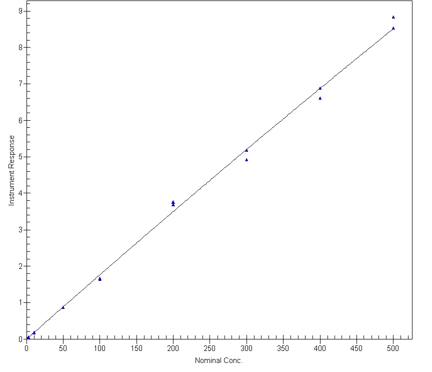
Figure 2 represents typical calibration data for each of the three analytes (Range 0.5 - 500 ng/mL)
The DBS technique was used successfully to determine the concentration of quetiapine, norquetiapine and quetiapine sulphoxide in human whole blood samples. By focusing on the chromatographic conditions and sample preparation the desired LLOQ of 0.5 ng/mL was achieved.
The technique and analytical method as developed at BASi® UK will be transferred to the BASi® sites in the USA. On completion, validation samples prepared and analysed at BASi® UK will be crossvalidated at these sites